Detelivet
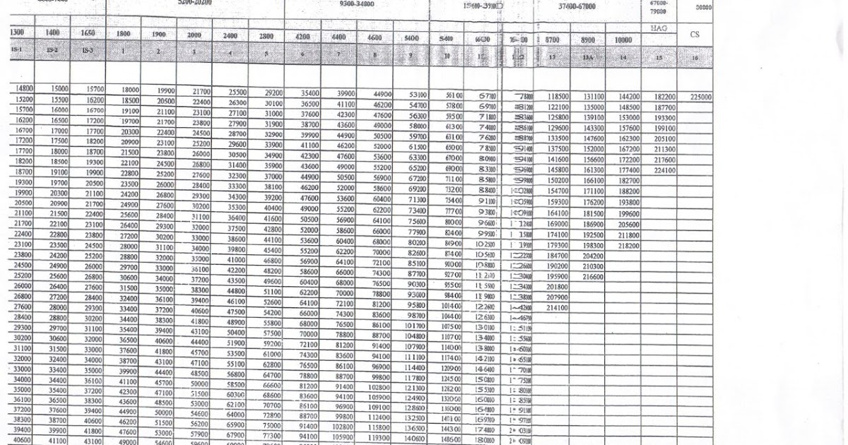
Pdf 7Th Pay Matrix / As per the report, the minimum basic salary of rs 23,000 to kerala government.